Math Standard Class 10 MCQ Sample Paper 1, Prepare effectively for your CBSE Class 10 Mathematics Standard exam. This paper includes 40 multiple-choice questions (MCQs) covering all major topics such as Quadratic Equations, Trigonometry, Probability, Statistics, Circles, and Coordinate Geometry. Each question comes with a detailed explanation to help you understand the logic behind the answer.
Math Standard Class 10 MCQ Sample Paper 1
Question 1.

Answer:

Question 2.

Answer:

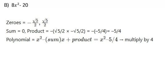
Question 3.

Answer:

Question 4.

Answer:

Question 5.

Answer:

Question 6.

Answer:

Question 7.

Answer:

Question 8.

Answer:

Question 9.

Answer:

Question 10.

Answer:

Question 11.

Answer:

Question 12.

Answer:

Question 13.

Answer:

Question 14.

Answer:

Question 15.

Answer:

Question 16.

Answer:

Question 17.

Answer:

Question 18.

Answer:

Question 19.

Answer:

Question 20.

Answer:

Question 21.

Answer:

Question 22.

Answer:

Question 23.

Answer:

Question 24.

Answer:

Question 25.

Answer:

Question 26.

Answer:

Question 27.

Answer:

Question 28.

Answer:

Question 29.

Answer:

Question 30.

Answer:

Question 31.

Answer:

Question 32.

Answer:

Question 33.

Answer:

Question 34.

Answer:

Question 35.

Answer:

Question 36.

Answer:

Question 37.

Answer:

Question 38.

Answer:

Question 39.

Answer:

Question 40.

Answer:

Disclaimer: We have provide you with the accurate handout of “Math Standard Class 10 MCQ Sample Paper 1“. If you feel that there is any error or mistake, please contact me at anuraganand2017@gmail.com. The above CBSE study material present on our websites is for education purpose, not our copyrights.
All the above content and Screenshot are taken from Mathematics Class 10 NCERT Textbook, CBSE Sample Paper, CBSE Old Sample Paper, CBSE Board Paper and CBSE Support Material which is present in CBSEACADEMIC website, NCERT website This Textbook and Support Material are legally copyright by Central Board of Secondary Education or NCERT. We are only providing a medium and helping the students to improve the performances in the examination.
Images and content shown above are the property of individual organisations and are used here for reference purposes only. To make it easy to understand, some of the content and images are generated by AI and cross-checked by the teachers. For more information, refer to the official CBSE textbooks available at cbseacademic.nic.in.