Prepare effectively for the CBSE Math Standard Class 10 Board Paper MCQ 1 with this complete set of solved MCQs from Board Paper Set-1. These questions are based on the latest exam pattern and cover important topics such as Real Numbers, Polynomials, Linear Equations, Trigonometry, Statistics, Probability, Coordinate Geometry, and more. Each question is carefully solved to help students understand concepts and improve accuracy for the actual exam.
Math Standard Class 10 Board Paper MCQ 1
Question 1:

Question 2:

Question 3:

Question 4:

Question 5:

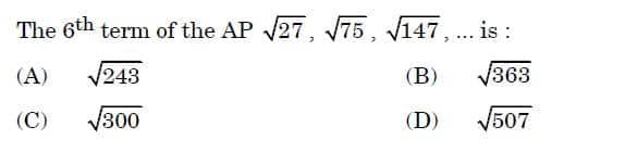
Question 6:

Question 7:

Question 8:

Question 9:

Question 10:

Question 11:

Question 12:

Question 13:

Question 14:

Question 15:

Question 16:

Question 17:

Question 18:

Question 19:

Question 20:

Question 1:

Question 2:

Question 3:

Question 4:

Question 5:

Question 6:

Question 7:

Question 8:

Question 9:

Question 10:

Question 11:

Question 12:

Question 13:

Question 14:

Question 15:

Question 16:

Question 17:

Question 18:

Question 19:

Question 20:

Disclaimer: We have provide you with the accurate handout of “Math Standard Class 10 Board Paper MCQ 1“. If you feel that there is any error or mistake, please contact me at anuraganand2017@gmail.com. The above CBSE study material present on our websites is for education purpose, not our copyrights.
All the above content and Screenshot are taken from Mathematics Class 10 NCERT Textbook, CBSE Sample Paper, CBSE Old Sample Paper, CBSE Board Paper and CBSE Support Material which is present in CBSEACADEMIC website, NCERT website This Textbook and Support Material are legally copyright by Central Board of Secondary Education or NCERT. We are only providing a medium and helping the students to improve the performances in the examination.
Images and content shown above are the property of individual organisations and are used here for reference purposes only. To make it easy to understand, some of the content and images are generated by AI and cross-checked by the teachers. For more information, refer to the official CBSE textbooks available at cbseacademic.nic.in.