Math Basic Class 10 Board Paper MCQ 1 is designed to help students practice important multiple-choice questions based on the latest CBSE exam pattern. These MCQs cover essential topics such as Number Systems, Algebra, Geometry, Mensuration, Statistics, and Probability. Practicing these questions improves accuracy, boosts confidence, and helps students understand the type of objective questions asked in the CBSE Class 10 Board Exam. The paper also strengthens conceptual clarity and problem-solving skills. Students preparing for the 2025 board exams can use this MCQ set as a quick revision tool before the final examination. It is highly useful for self-study, school assessments, and board exam preparation.
Math Basic Class 10 Board Paper MCQ 1
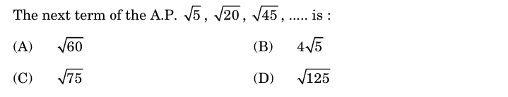
Question 1:

Question 2:

Question 3:

Question 4:

Question 5:

Question 6:

Question 7:

Question 8:

Question 9:

Question 10:

Question 11:

Question 12:

Question 13:

Question 14:

Question 15:

Question 16:

Question 17:

Question 18:

Question 19:

Question 20:

Question 21:

Question 22:

Question 23:

Question 24:

Question 25:

Question 26:

Question 27:

Question 28:

Question 29:

Question 30:

Question 31:

Question 32:

Question 33:

Question 34:

Question 35:

Question 36:

Question 37:

Question 38:

Question 39:

Question 40:

Disclaimer: We have provide you with the accurate handout of “Math Basic Class 10 Board Paper MCQ 1“. If you feel that there is any error or mistake, please contact me at anuraganand2017@gmail.com. The above CBSE study material present on our websites is for education purpose, not our copyrights.
All the above content and Screenshot are taken from Mathematics Class 10 NCERT Textbook, CBSE Sample Paper, CBSE Old Sample Paper, CBSE Board Paper and CBSE Support Material which is present in CBSEACADEMIC website, NCERT website This Textbook and Support Material are legally copyright by Central Board of Secondary Education or NCERT. We are only providing a medium and helping the students to improve the performances in the examination.
Images and content shown above are the property of individual organisations and are used here for reference purposes only. To make it easy to understand, some of the content and images are generated by AI and cross-checked by the teachers. For more information, refer to the official CBSE textbooks available at cbseacademic.nic.in.