In everyday life, we see some objects at rest and others in motion. Birds fly, fish swim, blood flows through veins and arteries, and cars move. Atoms, molecules, planets, stars and galaxies are all in motion. We often perceive an object to be in motion when its position changes with time.
Motion Class 9 Notes
Describing Motion
The motion required a reference point. A reference point is a fixed place which helps to compare the position of an object. For example, if we say “the school is 2 km north of the railway station”, it means that the station is the reference point. Without a reference point, we cannot clearly say where the school is located. Different reference points are chosen depending on convenience, but one fixed point called the originis always necessary to describe the position and motion of the object.
Motion along a straight line
Distance and displacement are both measures of the motion of an object, but they are different concepts. Distance is a scalar quantity that refers to the total path length traveled by an object, while displacement is a vector quantity that refers to the change in position of an object from its starting point to its ending point, measured in a straight line.

If an object goes from O to A (60 km), both distance and displacement are 60 km. If it goes from O to A (60 km) and then returns back to B (25 km), then the distance will be 85 km, but the displacement is only 35 km (straight from O to B). If it goes from O to A (60 km) and returns back to O, then the distance will be 120 km, but the displacement is zero (because it ends where it started).
Uniform motion and Non-Uniform motion
Uniform Motion – An object is said to be in uniform motion when it moves in a straight path at a constant speed. For example, if a car is moving from one place to another place at a constant speed of 31.25 Km/h on the straight line it means that the car is moving with uniform motion.
Non-uniform Motion – Non-uniform motion is the movement of an object in a straight line with varied rates. For example, if car moving from one place to another place and the car speed is increasing and decreasing depend on the road it means that motion is non-uniform manner.
Measuring the Rate of Motion
Different objects may take different amounts of time to cover a given distance. Some of them move fast, and some move slowly. The SI unit of speed is metre per second. Speed tells us how fast something is moving, but not the direction.
- Speed = distance travelled / time taken.
- SI unit: metre per second (m/s).
- Other units: cm/s, km/h.

Speed with direction
Velocity is the speed of an object moving in a definite direction. The velocity of an object can be uniform or variable. It can be changed by changing the object’s speed, direction of motion or both. When an object is moving along a straight line at a variable speed, we can express the magnitude of its rate of motion in terms of average velocity. It is calculated in the same way as we calculate average speed.
In case the velocity of the object is changing at a uniform rate, then average velocity is given by the arithmetic mean of initial velocity and final velocity for a given period of time. That is,

Example,

Rate of Change of Velocity
The rate at which an object’s velocity changes over time is called its acceleration. It is a vector quantity that describes both the magnitude and direction of the change in velocity.
The formula for acceleration is:
Acceleration = Change in Velocity / Time
where the change in velocity is the difference between an object’s final velocity and its initial velocity, and time is the duration over which the change in velocity occurs.
If the change in velocity is in the same direction as the initial velocity, the acceleration is called positive. If the change in velocity is in the opposite direction to the initial velocity, the acceleration is called negative, or deceleration.
For example, if a car starts from rest and reaches a velocity of 50 km/h in 10 seconds, its acceleration can be calculated as:
Acceleration = (50 km/h – 0 km/h) / 10 s = 5 km/h/s
The acceleration of the car is 5 kilometers per hour per second, in the direction of its motion.
It’s important to note that acceleration can also occur if an object is moving in a curved path, even if its speed is constant. This is because the direction of motion is changing, which means that the velocity is also changing, and therefore the object is accelerating. This is known as centripetal acceleration.

Graphical Representation of Motion
To describe the motion of an object, we can use line graphs. In this case, line graphs show dependence of one physical quantity, such as distance or velocity, on another quantity, such as time.
Distance-time graph
A distance-time graph is a graph that shows the distance an object has traveled as a function of time. The distance is plotted on the y-axis, and the time is plotted on the x-axis.

Velocity-time graph
A velocity-time graph is a graphical representation of an object’s velocity over a period of time. The graph plots the object’s velocity on the y-axis and time on the x-axis.

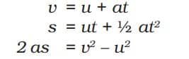
Equations of Motion
When an object moves along a straight line with uniform acceleration, it is possible to relate its velocity, acceleration during motion and the distance covered by it in a certain time interval by a set of equations known as the equations of motion. For convenience, a set of three such equations are given below:

where u is the initial velocity of the object which moves with uniform acceleration a for time t, v is the final velocity, and s is the distance travelled by the object in time t.

Uniform Circular Motion
When the velocity of an object changes, we say that the object is accelerating. The change in the velocity could be due to change in its magnitude or the direction of the motion or both. Can you think of an example when an object does not change its magnitude of velocity but only its direction of motion?

Disclaimer: We have taken an effort to provide you with the accurate handout of “Motion Class 9 Notes“. If you feel that there is any error or mistake, please contact me at anuraganand2017@gmail.com.
The above CBSE study material present on our websites is for education purpose, not our copyrights. All the above content and Screenshot are taken from Science Class 9 NCERT Textbook, CBSE Sample Paper, CBSE Old Sample Paper, CBSE Board Paper and CBSE Support Material which is present in CBSEACADEMIC website, NCERT websiteThis Textbook and Support Material are legally copyright by Central Board of Secondary Education. We are only providing a medium and helping the students to improve the performances in the examination.
Images and content shown above are the property of individual organizations and are used here for reference purposes only.
For more information, refer to the official CBSE textbooks available at cbseacademic.nic.in